Bài toán quay xe ô tô trong ngõ nhỏ
Thầy A muốn mua một chiếc ô tô. Ngõ từ đường vào sân nhà thầy hình chữ L. Đoạn đường đầu tiên có chiều rộng bằng (m). Đoạn đường thẳng vào sân có chiều rộng 2,6 (m).
Biết kích thước xe ô tô như hình vẽ (đơn vị: m) và để ô tô đi qua an toàn thì chiều rộng và chiều dài tương ứng của đoạn đường phải lớn hơn kích thước thiết kế của ô tô một khoảng, cụ thể là 5m×1,9m (chiều dài X chiều rộng). Để tính toán và thiết kế đường đi cho ô tô từ ngõ vào sân, thầy Trương coi ô tô như một khối hộp chữ nhật có kích thước chiều dài là 5m, chiều rộng là 1,9m.
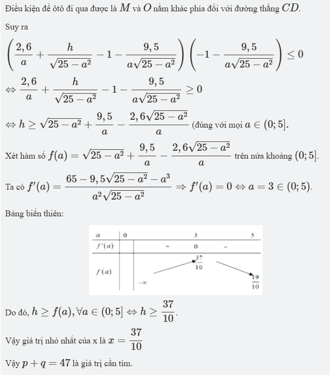
Chiều rộng nhỏ nhất của đoạn đường đầu tiên là x=p/q (với p,q là các số nguyên dương và phân số p/q tối giản) để ô tô của thầy A có thể đi vào được sân (giả thiết ô tô không đi ra ngoài đường, không bị nghiêng và ô tô không bị biến dạng). Khi đó p+q bằng bao nhiêu?



BÀI TOÁN TƯƠNG TỰ
Bài 1.
Anh Minh muốn đưa chiếc tủ lạnh có kích thước 0,8m×0,7m×1,8m (dài × rộng × cao) qua một hành lang thẳng đứng hình chữ L.
-
Đoạn hành lang đầu tiên rộng x (m).
-
Đoạn hành lang thứ hai rộng 1,0m.
Hãy tìm giá trị nhỏ nhất của x (dưới dạng phân số p/q tối giản) để tủ lạnh có thể xoay qua góc chữ L này. Tính p+q.
Bài 2.
Một chiếc giường có kích thước 2,1m×1,6m cần được đưa qua hành lang hình chữ L.
-
Đoạn đầu tiên của hành lang có chiều rộng x (m).
-
Đoạn thứ hai rộng 1,8m.
Giả sử giường được coi như hình chữ nhật phẳng và không được nghiêng, không biến dạng. Hãy tìm giá trị nhỏ nhất của x để giường đi qua được.
Bài 3.
Một công ty vận chuyển muốn đưa chiếc bảng điện tử có kích thước 3,2m×2,2m vào phòng họp qua cửa hình chữ L:
-
Đoạn đầu rộng xx (m).
-
Đoạn vuông góc rộng 2,5m.
Tìm giá trị nhỏ nhất của để bảng điện tử có thể đi qua. Trả lời dưới dạng phân số tối giản p/q
Bài 4.
Một chiếc thuyền nhỏ (coi như hình chữ nhật phẳng) có chiều dài 6m, chiều rộng 2,4m. Thuyền được kéo qua đoạn kênh hẹp hình chữ L:
-
Nhánh thứ nhất rộng x (m).
-
Nhánh thứ hai rộng 3,0m.
Xác định giá trị nhỏ nhất của x để thuyền đi qua được góc kênh.
Bài 5.
Một tấm kính lớn hình chữ nhật có kích thước 4,5m×2,0m. Người ta cần đưa tấm kính này qua một hành lang chữ L.
-
Đoạn đầu có chiều rộng x (m).
-
Đoạn vuông góc rộng 2,7m.
Hãy tính x nhỏ nhất để tấm kính có thể đi qua mà không bị kẹt.

